Depto. Química Orgánica

EJERCICIOS Y PROBLEMAS
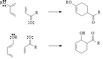
ESTEREOQUÍMICA DIELS-ALDER

Image Link UAM Excelencia UAM Facultad Ciencias UAM
15/07/2017
page counter
Dónde estoy Soluciones Escribir moléculas Inicio
Indica el resultado de los procesos siguientes: Predict the result of the following processes:
Image
Sugiere una explicación mediante formas resonantes de que el regioisómero "meta" está siempre desfavorecido.
Using resonance forms, suggest an explanation to the fact the the 'meta' adduct is always unfavored.
Image