Depto. Química Orgánica

 PROBLEMS AND EXERCISES
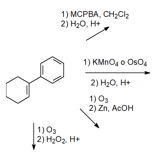
 OXIDATION OF ALKENES

Image Link UAM Excelencia UAM Facultad Ciencias UAM
15/07/2017
page counter
Where I am Solutions Molecular panel Home
Indica el resultado de las reacciones siguientes: Predict the result of the  following reactions:
Image